Lendo a Avaliação do Desempenho Energético - Relatório XLS

Clique no botão com o triângulo no canto inferior direito da paleta Revisão do Modelo Energético para salvar os dados detalhados do balanço de energia mensal no formato de arquivo Excel da Microsoft.

SaveAsEE00121.png 

Página Valores Chave do Projeto

A seção Valores Chave do Projeto do XLS "Relatório de Desempenho Energético" apresenta informação básica relativamente ao projeto. O seu conteúdo é muito semelhante à seção Valores Chave do Relatório PDF de Avaliação do Desempenho Energético, contendo, porém, informação adicional sobre Dados Climáticos, Carregamento do Modelo e Mensagens de aconselhamento (Erros e Avisos).

Abaixo da Data de Avaliação, são apresentados Dados do Projeto como Nome e Localização (com coordenadas), de acordo com a introdução pelo usuário no diálogo Localização Projeto.

Métricas da geometria chave e do desempenho da membrana como Área do Pavimento Bruta, Volume Ventilado e Capacidade calor exterior são provenientes da Análise Automática da Geometria do Modelo.

Coeficientes de transferência de energia calculados (ver Calculador Valor U (Valor R)) são listados em todo o edifício, para cada grupo estrutural (ver Página do Separador - Estruturas) e para as Aberturas na parte externa do edifício (ver Aberturas Página do Separador).

Carregamentos do modelo do sistema de aquecimento e arrefecimento são resultados de simulação que indicam magnitudes de sistema brutas.

Nota: Avaliação Energética no ARCHICAD não é diretamente capaz de prover de informações para dimensionar sistemas e equipamentos. As cargas de Design mostradas em Valores Chave do Projeto servem apenas como informação. Dimensionamento do sistema só é possível com funções especializadas do EcoDesigner STAR para ARCHICAD.

Mensagens de aconselhamento apresentam os erros e avisos que ocorreram antes e durante a simulação.

Página Relatório Energético do Projeto

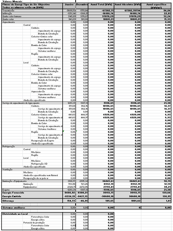
O nível de detalhe de dados apresentado na página do separador Resultados Detalhados do Projeto do XLS "Relatório de Desempenho Energético" excede o nível de detalhes visualizado no gráfico de barras Balanço de Energia Mensal do PDF "Relatório de Desempenho Energético":

EnergyXLS.png 

sistemas de Aquecimento e Resfriamento serão revistos de acordo com alvos (Aquecimento de ambiente, Geração de água quente). Energias auxiliares são necessárias para operar sistemas separadamente.

Os consumos de eletricidade para a Iluminação e os Aparelhos são apresentados em uma lista em separado, ao contrário do valor combinado.

Nota: Só é possível definir sistemas de Aquecimento e Resfriamento Localizados com a extensão EcoDesigner STAR. Dados de sistemas locais sempre aparecerão como 0 em relatórios gerados com Avaliação Energética no ARCHICAD. O mesmo vale para eletricidade in loco

Página Detalhada de Entrada de Dados

Esta página do separador apresenta informação sobre a geometria do edifício conforme esta aparece nas páginas dos separadores Estruturas e Vãos. Utilize estes dados como entradas para o software de cálculo energético estacionário com base em Excel de terceiros.