Calcular

A função Cálculo - a base de dados integrada de elementos construtivos do ARCHICAD - pode ser utilizada para mostrar o número, quantidades e componentes de elementos num projecto e a disposição espacial dos elementos (zonas).

Nota: a funcionalidade de Cálculo é considerada herança e é pouco provável que suporte noves desenvolvimentos no ARCHICAD – por exemplo, as Ferramentas Escada e Guarda (a partir da versão 21) não são suportadas. Para listar estes elementos, use o Mapa Interactivo.

O processo de geração de relatórios, descrito nesta secção, é uma função simples de documentação; utilize os modelos predefinidos para gerar listagens simples. Utilize as opções na caixa de diálogo Regras e Unidades de Cálculo para definir as preferências de cálculo.

Ver Preferências de Unidades de Cálculo e Regras.

Os utilizadores avançados poderão utilizar uma formatação personalizada, e definir critérios pessoais de filtragem.

Todo o processo é descrito detalhadamente no “Calculation Guide.pdf”, também disponível a partir do menu Ajuda ARCHICAD.

Nota sobre a ferramenta Mapa Interactivo

A maior parte dos utilizadores prefere o Mapa Interactivo da ARCHICAD. Os Mapas Interactivos fazem parte do Mapa de Projecto, e os mapas produzidos podem ser guardados como vistas e colocados em layouts. Como o próprio nome indica, um Mapa Interactivo é um item reciprocamente editável, que está vinculado aos elementos do Projecto que contém.

Ver Mapa Interactivo.

Tópicos desta secção:

Configuração dos Cálculos

Tipos de Listagens

Visualização de Listas

Informação do Elemento

Gestão de ID

Tópicos relacionados:

Mapa Interactivo

Índices de Projecto

Configuração dos Cálculos

Alguns dos comandos aqui referidos não são visíveis nos perfis de origem do Ambiente de Trabalho do ARCHICAD. Se planear configurar listagens (recomendado apenas para utilizadores experientes), comece por utilizar Opções > Ambiente de Trabalho > Menus, para adicionar os seguintes comandos a um menu existente (ou seja, Documentação > Extras de Listagem):

Definir Esquemas de Listas (esta caixa de diálogo pode ser reservada num projecto Teamwork)

Nota: os Esquemas de Listas funcionarão em projectos Teamwork apenas se os guardar na Biblioteca Embebida do projecto.

Editar Base de Dados (esta caixa de diálogo pode ser reservada num projecto Teamwork)

Novas Propriedades

Editar Propriedades

Últimas Propriedades Seleccionadas

Vincular Propriedades aos Critérios (esta caixa de diálogo pode ser reservada num projecto Teamwork)

Tipos de Listagens

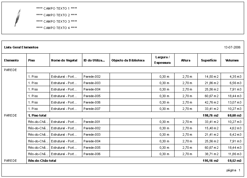
O ARCHICAD pode gerar três tipos de relatórios de cálculo: Listas de Elementos, Listas de Componentes e Listas de Zonas.

As listagens de elementos devem ser utilizadas para criar mapas e inventários, e para visualizar os parâmetros dos elementos de construção num projecto. Para gerar Listas de Elementos, o ARCHICAD filtra os elementos de construção do Projecto ou da selecção, de acordo com a configuração do Esquema de Listas seleccionado. Os elementos que correspondam à filtragem serão apresentados, juntamente com os respectivos Parâmetros, Componentes e Descritores, se assim for definido do Esquema de Listas.

ElementList.PNG 

As Listagens de Componentes são geradas quando são requeridas relações de materiais, mapas de quantidades ou listas de preços. Estes relatórios enumeram normalmente as propriedades do tipo componente; no entanto, também podem ser listados certos parâmetros dos elementos.

CompList.png 

As Listagens de Zonas são, geralmente, utilizadas para criar mapas de compartimentos e mapas de acabamentos. As Listagens de Zonas podem incluir parâmetros de zonas e elementos de construção relacionados. Quando os elementos de construção relacionados são listados, o relatório torna-se, de facto, uma Lista de Elementos, na qual os elementos calculados são limitados pelas Zonas a que pertencem.

Dependendo do que deseja que apareça na Listagem, pode seleccionar o tipo necessário. Alguns exemplos comuns são:

Uma Listagem de elementos de construção, com dados básicos e parâmetros sobre os mesmos

Listagem

Parâmetros específicos sobre elementos de construção (como Alturas de Soleira, Número de negativos na Laje)

Listagem

Criação de Mapas de Vãos

Listagem

Quantidades de componentes, associados aos elementos de construção listados

Lista de Componentes

Descritores, associados aos elementos de construção listados

Lista de Componentes

Mapas de Compartimentos

Lista de Zonas

Listagem de Zonas ou parâmetros detalhados de Zonas (como Área Extraída da Zona, Redução de Área da Zona)

Lista de Zonas

Parâmetros principais das Zonas (como Nome e Número da Zona) apresentados para as mesmas, onde está localizado o elemento de construção listado

Listagem

Visualização de Listas

Os elementos que serão utilizados no cálculo dependem da selecção efectuada na Planta.

Se não existir selecção, todos os elementos serão utilizados e filtrados por tipo ou outro critério, conforme o Esquema de Listas;

Se existir uma selecção, só serão considerados os elementos seleccionados.

Para uma selecção de elementos mais específica, utilize o comando Definir Esquemas de Listas, e defina os filtros.

Todo o processo é descrito detalhadamente no “Calculation Guide.pdf”, também disponível a partir do menu Ajuda ARCHICAD.