Чтение Отчета Энергетической Оценки - Формат PDF

PDF-верхний колонтитул

PDFHeaderEE.png 

Верхний колонтитул в документе PDF содержит информацию о проекте и определяется в диалоговом окне установки параметров верхнего/нижнего колонтитулов.

Ключевые Значения

Раздел ключевых значений PDF-отчета энергетической эффективности содержит наиболее важные сведения о проекте.

Раздел Общие сведения о проекте, содержит основную информацию, такую как данные о Расположение и Профиль эксплуатации, назначенные пользователем (см. Назначение и ввод дополнительных данных). Также указывается дата проведения расчетов.

KeyValuesEE.png 

В подразделе Характеристики формы здания содержатся результаты анализа геометрии модели, такие как площади, объем, остекление.

См. Автоматический Анализ Геометрии Модели и Свойств Материалов при Оценке Энергоэффективности.

Характеристики корпуса здания содержат суммарную. утечку воздуха (воздухообмен в час), также называемую коэффициентом воздухообмена - количество внутреннего воздуха, заменяемого за 1 час. Наружная теплоемкость измеряет способность конструкций здания аккумулировать тепло по отношению к изменяющейся наружной температуре воздуха. Она также является важной характеристикой здания.

Кроме того, в разделе Ключевые значения приводятся минимальные и максимальные значения вычисленных коэффициентов теплообмена. Они приводятся для всего здания и для каждой группы конструкций , а также для проемов корпуса здания.

В области Специфические ежегодные потребности приводятся наиболее важные данные об энергетической эффективности (потребности и потребление), что позволяет сравнивать проекты различных размеров.

Термоблоки

В таблице, представленной в этом разделе, приводится перечень термоблоков с их геометрическими данными и Профилями эксплуатации.

ThermalBlocksChart.png 

Ежемесячный баланс энергии

В разделе ежемесячного баланса энергии приводится гистограмма относительно того, какое количество энергии здание излучает (нижняя часть) и какое количество энергии потребляет (затрачивает): количество энергии, которое здание поглощает из окружающей среды и его собственных внутренних источников тепла (верхняя часть) за месяц или за неделю (в зависимости от настроек раздела Энергетического баланса проекта).

ProjectEnergyBalance.png 

Согласно уравнению энергетического баланса, являющемуся фундаментом физических характеристик здания, излучаемая и потребляемая энергия должны совпадать каждый месяц Вертикальная ось представляет шкалу энергии. Вдоль горизонтальной оси приводятся двенадцать месяцев года.

Гистограмма ежемесячного баланса энергии содержит итоговые результаты, вычисленные в VIPCore на основании почасового использования энергии.

Типы излучаемой и потребляемой (затрачиваемой) энергии

Справа от гистограммы ежемесячного баланса энергии приводятся виды энергии, которые составляют столбцы гистограммы. Количество и тип компонент энергетического баланса, которые появляются в конкретном отчете энергетической оценки, зависит от параметров, задаваемых в диалоговом окне Систем здания. Общий годовой баланс энергии приводится в кВтч/a.

В таблице ниже приводятся типы излучаемой и потребляемой энергии с использованием их цветов из гистограммы баланса энергии.

ChartColorsEE.png 

Эти категории излучаемой и потребляемой энергии, помимо их визуализации в энергетическом балансе, также используются в системах MEP (охлаждение, нагрев, вентиляция) проекта, а также в решениях по использованию в нем зеленой энергии.

В левом столбце приводятся излучаемые виды энергии, справа - потребляемые. Посередине приводятся те виды энергии, которые могут выступать как излучаемые или потребляемые в зависимости от ситуации.

Виды энергии, приведенные в сплошной рамке, требуют вода одного или более источников энергии.

См. Источник энергии.

Потребление энергии целями

Этот раздел отчета содержит две таблицы и несколько круговых диаграммы.

В левом столбце таблицы приводится список энергетических целей по именам, плюс их цвета, используемые в круговых диаграммах. Столбец Количество содержит величину [например, kWh/a], а столбец Цена - цену, затраченную каждой целью за год. Правый столбец таблицы содержит углеродный след, связанный с каждой величиной целевого назначения энергии.

BarChartTargets.png 

Диаграммы распределения энергии дают графическое представление использования по

Количеству энергии

Энергоемкость

цене,

углеродному следу

каждого из целевых назначений потребления энергии.

Значения целевого расхода энергии, отображаемые в соответствующем графике, позволяют сравнить количество потребляемой энергии с величиной потребления первичной энергии.

Возможно отображение данных о расходовании энергии в виде гистограммы или круговой диаграммы.

См. Параметры разделов отчета.

Энергоемкость

Значение первичной энергии является 'общим знаменателем' среди различных типов потребления источников энергии при определении общего потребления энергии зданием. Имеется в виду не только чистое потребление источников энергии, но также и энергозатраты на производство, транспортировку и обработку сырья для источников энергии, а также их транспортировку к месту использования. Минимизация потребностей в конкретной первичной энергии является важным направлением в повышении общей эффективности спроектированного здания.

Факторы первичной энергии, присвоенные источника энергии отличаются в зависимости от места расположения здания.

См. Расположение Объекта Проектирования и Север Проекта.

Используйте диалоговое окно для ввода характерных для региона данных, если они имеются, или произведите расчеты с использованием предлагаемых значений по умолчанию (они базируются на стандарте DINV-18599).

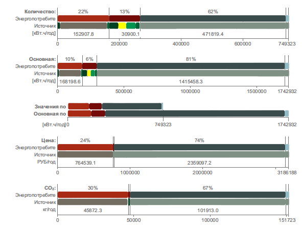
Потребление энергии источниками

В этом разделе отчета приводится таблица и несколько диаграмм.

SourcesHeader.png 

В левом столбце таблицы приводится список источников энергии по их типам (возобновляемый, ископаемый и дополнительный) и их имена, с указанием их цвета, который используется в круговой диаграмме. Столбец Количество содержит величину [например, kWh/a], а столбец Цена - цену потребления каждого типа энергии за год.

Правый столбец таблицы содержит углеродный след по каждому из перечисленных типов энергии.

Диаграммы распределения энергии дают графическое представление использования по

Количеству энергии

Энергоемкость

цене,

углеродному следу

каждому типу используемого источника энергии.

SourcesBarsOnly.png 

Значения источников энергии, отображаемые в соответствующем графике, позволяют сравнить количество потребляемой энергии с величиной потребления первичной энергии.

Возможно отображение данных о расходовании энергии в виде гистограммы или круговой диаграммы.

См. Параметры разделов отчета.

Воздействие на Окружающую Среду

В этой главе приводится информация о воздействии на окружающую среду, путем отображения " Углеродного Следа" и Первичной Энергии, в соответствии с Источниками Энергии.

EnvImpactEE.png