Obliczenia (starsze wersje)

Funkcja Zestawień i list - zintegrowana z Archicadem baza danych, zawierająca informacje o elementach konstrukcyjnych - może być wykorzystywana do tworzenia list elementów składających się na projekt, z uwzględnieniem użytych komponentów, ich liczby/ilości oraz rozmieszczenia w przestrzeni (przypisanie do stref).

Opisany tutaj proces jest prostą funkcją publikacji wykorzystującą gotowe wzory i pozwalającą na tworzenie prostych list.

Zaawansowani użytkownicy mogą dopasować format oraz ustawienia filtrowania tych publikacji do własnych potrzeb.

Cały proces opisany jest szczegółowo w podręczniku “Calculation Guide.pdf”, dostępnym z menu Pomocy Archicada.

Obliczenia (starsze wersje) a Zestawienie Interaktywne (obsługiwane)

Funkcja obliczeń uznawana jest za funkcję z wcześniejszych wersji, zatem nie będzie obsługiwała nowych funkcji dostępnych w Archicadzie.

Narzędzia Schody i Balustrady (począwszy od wersji 21) nie są obsługiwane.

Łamane i stożkowe belki i słupy (dostępne od wersji 23) nie są obsługiwane. Jednoelementowe belki i słupy są obsługiwane podobnie jak w poprzednich wersjach.

Większość użytkowników Archicada preferuje Zestawienia interaktywne Archicada. Zestawienia Interaktywne stanowią część Mapy Projektu, a utworzone na ich podstawie widoki mogą być zachowywane i publikowane na arkuszach. Zestawienie interaktywne to dwukierunkowy, modyfikowalny element, połączony z elementami projektu w nim zawartymi.

Tematy omówione w tym rozdziale:

Przygotowanie list

Typy

Wyświetlanie list

Tematy pokrewne:

Zestawienie interaktywne

Spisy treści Projektu

Preferencje jednostek obliczeniowych

Przygotowanie list

Niektóre polecenia opisane w tym rozdziale nie są widoczne w domyślnych profilach środowiska pracy programu Archicad . Jeśli zamierzasz samodzielnie konfigurować listy (zalecane wyłącznie w przypadku zaawansowanych użytkowników), otwórz Opcje > Środowisko pracy > Menu, aby dodać do istniejącego menu (np. Dokument > Dodatki do list) następujące polecenia:

Ustaw listę schematów (to okno dialogowe można zarezerwować w projekcie Teamwork)

Uwaga: Schematy list będą działać w projektach Teamwork jedynie w przypadku, gdy zostaną zachowane w wewnętrznej bibliotece projektu.

Modyfikuj bazę danych (to okno dialogowe można zarezerwować w projekcie Teamwork)

Nowe Cechy

Modyfikuj Cechy

Cechy ostatniego zaznaczenia

Łącz cechy z kryteriami (to okno dialogowe można zarezerwować w projekcie Teamwork)

Typy

Archicad generuje trzy typy list: Listy elementów, Listy komponentów oraz Listy stref.

Lista elementów jest najlepszym rozwiązaniem przy tworzeniu zestawień i inwentaryzacji oraz do wyświetlania parametrów elementów konstrukcyjnych użytych w projekcie. Aby utworzyć Listę elementów, Archicad przegląda projekt lub zaznaczony zestaw elementów konstrukcyjnych zgodnie z konfiguracją wybranego Schematu listy. Na liście pojawią się zatem wyszczególnione w Schemacie listy parametry elementów, Komponenty i Deskryptory.

ElementList.PNG 

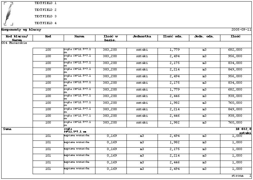
Lista komponentów pozawala na tworzenie zestawień użytych materiałów, zestawień ilościowych lub kosztorysów. Listy takie zawierają zazwyczaj cechy różnych typów komponentów; jednakże wyświetlane mogą być również określone parametry elementów.

CompList.png 

Lista stref jest głównie wykorzystywana do tworzenia zestawień pomieszczeń oraz wykończenia. Listy stref mogą zawierać parametry Stref oraz powiązanych z nimi elementów konstrukcyjnych. W rzeczywistości Lista stref jest rodzajem Listy elementów, której zawartość stanowią elementy należące do danej Strefy.

Wybranie odpowiedniego typu listy uzależnione jest od rodzaju danych jakie mają być zestawione. Oto przykłady typowych zestawień:

Elementy konstrukcyjne zestawione wraz z podstawowymi danymi oraz wartościami ich parametrów

Lista elementów

Charakterystyczne parametry określonych elementów konstrukcyjnych (np. Wysokość progu drzwi, Liczba otworów w stropie)

Lista elementów

Zestawienia stolarki drzwiowej i okiennej:

Lista elementów

Ilość komponentów związanych z elementami konstrukcyjnymi

Lista komponentów

Deskryptory odnoszące się do elementów konstrukcyjnych:

Lista komponentów

Zestawienia pomieszczeń:

Lista stref

Szczegółowe parametry stref (np. Powierzchnia odjęta strefy, Redukcja powierzchni strefy)

Lista stref

Główne parametry stref (np. nazwa strefy, numer strefy) wyświetlone w kolumnie Strefy danego elementu konstrukcyjnego

Lista elementów

Wyświetlanie list

Zakres elementów branych pod uwagę przy tworzeniu list zależy od bieżącego zaznaczenia w oknie Rzutu.

Jeżeli żaden element nie jest zaznaczony, lista utworzona będzie na podstawie wszystkich elementów zgodnie z poleceniami Schematu listy według typu lub kryterium.

Jeżeli na arkuszu znajdują się zaznaczone elementy, tylko one będą wykorzystane przy tworzeniu listy.

Jeżeli zakres elementów tworzących listę wymaga ściślejszego określenia, użyj polecenia Ustawienia list aby zdefiniować kryteria wyboru elementów.