Leer el Informe XLS de Evaluación de Rendimiento Energético

Haga clic en el botón con el triángulo situado en la esquina inferior derecha de la paleta de Revisión del Modelo de Energía para guardar los datos de balance energético mensual detallados en formato de archivo Microsoft Excel.

SaveAsEE00347.png 

Página Valores Clave de proyecto

La sección Valores Clave de proyecto del Informe de Rendimiento de Energía en XLS muestra información básica acerca del proyecto. Su contenido es bastante similar al de la sección Valores Clave del Informe PDF de la Evaluación de Rendimiento Energético, pero contiene más información acerca de los Datos climáticos, las Cargas del diseño y los Mensajes de Aviso (Errores y Alertas).

Debajo de la Fecha de Evaluación, aparecen datos del proyecto como el Nombre y la Ubicación (con coordenadas), de acuerdo con los datos introducidos por el usuario en el cuadro de diálogo Definiciones de Ubicación.

Mediciones clave de geometría y rendimiento de estructuras complejas como el Área bruta de la planta, el Volumen ventilado y la Capacidad de calor exterior proceden del Análisis automático de Geometría del Modelo.

Aparecen listados los coeficientes de transferencia de calor calculados (véase Calculadora de Valor U (Valor R)) para todo el edificio, para todos los grupos de estructuras del edificio (véase Pestaña Estructuras) y para las aberturas de la estructura compleja del edificio (véase Pestaña Aberturas).

Las Cargas del Diseño del sistema de Calefacción y refrigeración son resultados de simulación que indican magnitudes brutas del sistema.

Nota: La Evaluación de Energía de Archicad no es capaz de ofrecer directamente información sobre los sistemas de dimensionado y equipamiento. Las cargas de diseño indicadas en los Valores Clave del proyecto tienen carácter informativo exclusivamente. El dimensionamiento del sistema sólo es posible con las funciones expertas de EcoDesigner STAR, disponibles para los clientes con SSA/Forward.

Los Mensajes de Aviso muestran errores y alertas antes y durante la simulación.

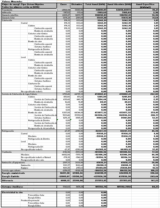
Página Informe de Energía del Proyecto

El nivel de detalle de los datos visualizados en la ficha Resultados Detallados de Proyecto del Informe XLS del Rendimiento Energético supera el nivel de detalle del gráfico de barras del Balance energético mensual del Informe PDF del Rendimiento Energético:

EnergyXLS.png 

La Calefacción y la Refrigeración se clasífican más de acuerdo con los sistemas y el destino específico (Calefacción espacial, Generación de agua caliente). Las energías auxiliares necesarias para que funcionen los sistemas se muestran por separado.

Los consumos de iluminación y de electricidad en aparatos aparecen listados por separado en lugar de combinados.

Nota: Solo es posible definir los denominados sistemas de Calefacción y Refrigeración Local con la extensión EcoDesigner STAR, disponibles para los clientes con SSA/Forward. En consecuencia, los datos de los sistemas locales siempre aparecerán como 0 en los informes elaborados con la Evaluación de Energía de Archicad. Lo mismo es aplicable a la electricidad in situ

Página de Entradas Detalladas

En esta ficha aparece información sobre la geometría del edificio, tal y como aparece en las fichas Estructuras y Aberturas. Utilice estos datos a modo de input para software de cálculo de energía estacionario basado en Excel de terceros.