Ler o Relatório de Avaliação do Desempenho Energético em XLS

Clique no botão com o triângulo no canto inferior direito da palete Revisão do Modelo Energético para guardar os dados detalhados do balanço de energia mensal no formato de ficheiro Excel da Microsoft.

SaveAsEE00276.png 

Página Valores Chave do Projecto

A secção Valores Chave do Projecto do XLS "Relatório de Desempenho Energético" apresenta informação básica relativamente ao projecto. O seu conteúdo é muito semelhante à secção Valores Chave do Relatório PDF Avaliação do Desempenho Energético, contendo, porém, informação adicional sobre Dados Climáticos, Carregamento do Modelo e Mensagens de aconselhamento (Erros e Avisos).

Abaixo da Data de Avaliação, são apresentados Dados do Projecto como Nome e Localização (com coordenadas), de acordo com a introdução pelo utilizador no diálogo Definições de localização.

Métricas da geometria chave e do desempenho da membrana como Área do Pavimento Bruta, Volume Ventilado e Capacidade calor exterior são provenientes da Análise Automática da Geometria do Modelo.

Coeficientes de transferência de calor calculados (ver Calculador Valor U (Valor R)) são listados para todo o edifício, para cada grupo da Estrutura do edifício (ver Separador Estruturas) e para os vãos na membrana do edifício (ver Separador Vãos).

Carregamentos do modelo do sistema de aquecimento e arrefecimento são resultados de simulação que indicam magnitudes de sistema brutas.

Nota: a Avaliação Energética no Archicad não é capaz de, directamente, fornecer informações para o dimensionamento de sistemas e equipamento. Os carregamentos do modelo sob Valores Chave do Projecto são apenas apresentados para sua informação. O dimensionamento do sistema só é possível com as funções especializadas do EcoDesigner STAR, disponível para clientes SSA/Forward.

Mensagens de aconselhamento apresentam os erros e avisos que ocorreram antes e durante a simulação.

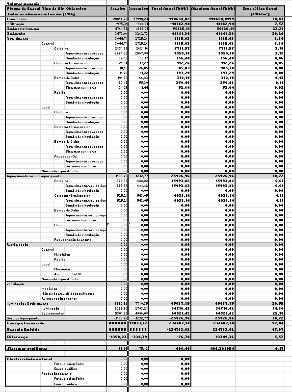
Página Relatório Energético do Projecto

O nível de detalhe de dados apresentado na página do separador Resultados Detalhados do Projecto do XLS "Relatório de Desempenho Energético" excede o nível de detalhes visualizado no gráfico de barras Balanço de Energia Mensal do PDF "Relatório de Desempenho Energético":

EnergyXLS.png 

O Aquecimento e a Refrigeração são ainda mais divididos de acordo com os sistemas e o objectivo específico (Aquecimento de espaço, Geração de água quente). As energias auxiliares necessárias para operar os sistemas aparecem em separado.

Os consumos de electricidade para a Iluminação e os Aparelhos são apresentados numa lista em separado, ao contrário do valor combinado.

Nota: só é possível definir os chamados sistemas de Aquecimento e Arrefecimento Locais com o EcoDesigner STAR, disponível para clientes SSA/Forward. Por isso, os dados dos sistemas locais irão aparecer sempre como 0 nos relatórios gerados com a Avaliação Energética do Archicad. O mesmo se aplica para a Electricidade no local

Página de Inputs Detalhados

Esta página do separador apresenta informação sobre a geometria do edifício conforme esta aparece nas páginas dos separadores Estruturas e Vãos. Utilize estes dados como entradas para o software de cálculo energético estacionário com base em Excel de terceiros.