Lecture de l'estimation de la performance énergétique - Rapport PDF

En-tête du PDF

PDFHeaderEE.png 

L'en-tête du PDF affiche des informations personnalisées sur le projet, telles qu'elles ont été définies dans le dialogue Options En-tête/Bas de page.

Valeurs clef

La section Valeurs clef du Rapport d'estimation PDF affiche les données essentielles du projet.

En-dessous de "Données générales de projet" sont mentionnées des informations générales telles que l'Emplacement du projet et le Profil d'usage spécifiés par l'utilisateur (voir Association et saisie de données additionnelles). La date de l'estimation est également affichée dans cette rubrique.

KeyValuesEE.png 

La rubrique "Géométrie du bâtiment" contient le résultat de l'analyse géométrique du modèle, par exemple des surfaces, des volumes et du taux de brillance.

Voir Analyse automatique de la géométrie du modèle et de la propriété des matériaux dans Estimation énergétique.

La rubrique "Données performance gros oeuvre" affiche la déperdition d'air en renouvellement d'air par heure (également appelé le taux de renouvellement d'air - le nombre de renouvellements du volume d'air intérieur par heure, exprimé en 1/h). La Capacité calorifique externe (qui mesure la capacité des structures du bâtiment à stocker la chaleur en fonction des variations de la température extérieure) est également une mesure de performance importante du gros oeuvre.

La rubrique " Coefficient de transfert de chaleur" mentionne les valeurs minimum et maximum des coefficients de transfert de chaleur qui sont calculés et listés pour l'ensemble du bâtiment, pour chaque Groupe de structures du bâtiment et pour les ouvertures du gros oeuvre.

La rubrique " Besoins annuels spécifiques" mentionne les données de performance énergétique les plus importantes (données du besoin net et de la consommation brute). Elle sont projetées sur une unité de surface d'un bâtiment et sont listées pour rendre possible la comparaison entre des projets de dimensions différentes.

Blocs thermiques

Le tableau sous ce chapitre contient les blocs thermiques avec leurs données géométriques et leurs Profils d'opération.

ThermalBlocksChart.png 

Histogramme Bilan énergétique mensuel

L'histogramme Bilan d'énergétique mensuel affiche graphiquement la quantité d'énergie émise par le bâtiment (dans la partie inférieure) et l'énergie fournie par le bâtiment : la quantité d'énergie qu'il absorbe de son environnement et de ses propres sources de chaleur internes (dans la partie supérieure), par mois ou par semaine (en fonction des réglages du chapitre de rapport Estimation de performance énergétique).

ProjectEnergyBalance.png 

En fonction de l'équation du bilan énergétique - qui est le fondement de la physique appliquée au bâtiment - les barres du graphique de l'Energie émise et de l'Energie fournie doivent être égales chaque mois. L'axe vertical de l'histogramme affiche une échelle énergétique. Le long de l'axe horizontal sont affichés les mois de l'année.

L'histogramme du Bilan énergétique mensuel affiche le résultat du cumul des calculs par heure exécutés pour établir ce bilan énergétique grâce au moteur de calcul VIP Core.

Types de sources et d'émission d'énergie

A droite du diagramme Bilan énergétique mensuel, sont listés les flux d'énergie qui servent de base à la détermination des informations des colonnes du diagramme. Le nombre et le type des composants du bilan énergétique qui apparaissent dans un Rapport d'estimation énergétique donné dépendent des réglages du dialogue Systèmes de construction du bâtiment évalué. Les quantités de flux énergétiques totales sont affichées en kWh/a.

Le tableau ci-dessous liste tous les types d'énergie fournis ainsi que tous les types d'émission avec leur code couleur repris dans le diagramme Bilan d'énergie par défaut.

ChartColorsEE.png 

Ces catégories de fourniture et d'émission d'énergie ne servent pas uniquement à visualiser le bilan énergétique mais délivrent également des informations sur les systèmes MEP (refroidissement, chauffage, type de ventilation) et sur les solutions d'énergie renouvelable du projet évalué.

La colonne de gauche affiche les flux énergétiques qui apparaissent dans la partie Energie émise, ceci à partir du diagramme de bilan énergétique, tandis que la colonne de droite liste les types d'énergie fournie. La colonne du centre contient les flux énergétiques qui peuvent apparaître soit comme émis, soit comme fournis, en fonction de la situation donnée.

Les flux énergétiques encadrés par des lignes continues dans le tableau au-dessus exigent l'entrée d'une ou plusieurs sources d'énergie.

Voir Source d'énergie.

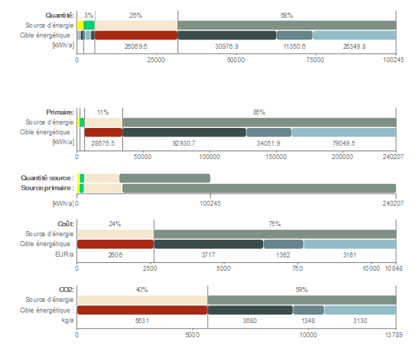
Consommation énergie par cibles

Cette section du Rapport d'estimation contient deux tableaux et plusieurs diagrammes.

La colonne de gauche du tableau liste les cibles d'énergie par leurs noms, ainsi que par leurs codes de couleur repris dans le diagramme. La colonne Quantité liste la valeur [par ex. kWh/a] et la colonne Coût affiche le prix [devise/a] de l'énergie consacrée à chaque cible pour une année. En plus de la répartition de l'Energie primaire, la colonne située à l'extrémité droite du tableau, liste la valeur de l'empreinte carbone associée aux valeurs cibles d'énergie

BarChartTargets.png 

Les diagrammes Distribution par cibles affichent les pourcentages des

Quantités d'énergie

Energie primaire

coûts

empreintes carbone

associés à chacune des cibles d'énergie.

L'histogramme Quantités d'énergie cibles par cibles primaires vous aide à comparer l'ordre de grandeur de la consommation d'énergie et la consommation d'énergie primaire.

Il est également possible d'afficher le diagramme de consommation d'énergie sous forme d'histogramme ou de graphique circulaire

Voir Options de chapitre de rapport.

Energie primaire

La valeur d'énergie primaire constitue le 'dénominateur commun' des différents types de consommation de source d'énergie quant il s'agit de déterminer la consommation d'énergie totale d'un bâtiment. Non seulement elle indique la consommation nette de la source d'énergie, mais elle y incorpore également l'énergie nécessaire à la fabrication, le transport et le traitement des matières premières nécessaires pour la source d'énergie, ainsi que son transport sur le site où elle sera utilisée. Réduire au minimum la demande d'énergie primaire est une excellente manière d'améliorer la performance globale des bâtiments conçus.

Les facteurs d'énergie primaire associés aux sources d'énergie diffèrent selon l'emplacement du bâtiment.

Voir Emplacement du projet et Nord du projet.

Utilisez le dialogue Facteurs de source d'énergie pour saisir les données régionales spécifiques disponibles ou évaluez le projet en utilisant les associations par défaut proposées par EcoDesigner (fondées sur le standard DINV-18599).

Consommation énergie par sources

Cette section du Rapport d'estimation contient un tableau et plusieurs diagrammes.

SourcesHeader.png 

La colonne de gauche du tableau liste les sources d'énergie par type (Renouvelable, Fossile et Secondaire) et leurs noms, ainsi que leurs codes de couleur utilisés dans le diagramme. La colonne Quantité liste la valeur [par ex. kWh/a] et la colonne Coût affiche le prix [devise/a] pour chaque source d'énergie consommée en un an.

La colonne située à l'extrémité droite du tableau affiche les valeurs de l'empreinte carbone en lien avec la valeur des sources d'énergie listées.

Les diagrammes de Distribution par sources affichent la répartition en pourcentage des

Quantités d'énergie

Energie primaire

coûts

empreintes carbone

pour les sources d'énergie utilisées.

SourcesBarsOnly.png 

L'histogramme Quantités d'énergie source par sources primaires vous aide à comparer l'ordre de grandeur de la consommation d'énergie et la consommation d'énergie primaire.

Il est également possible d'afficher le diagramme de consommation d'énergie sous forme d'histogramme ou de graphique circulaire

Voir Options de chapitre de rapport.

Impact sur l'environment

Ce chapitre résume l'impact environnemental de l'opération du bâtiment en affichant l'Empreinte CO2 et l'Energie primaire selon les sources d'énergie.

EnvImpactEE.png